日前,SM视频
胡海豹教授团队与航空学院郗恒东教授团队合作,在流体力学顶级期刊《Journalof Fluid Mechanics》(简称JFM,剑桥大学出版社旗下核心期刊之一,是流体力学领域的Top 1期刊)上发表了题为“Controlling the number of vortices and torque in Taylor–Couette flow”的原创性研究成果(J. Fluid Mech. (2020), vol. 901, A30)。SM视频
硕士研究生文俊(2017届)是论文第一作者,SM视频
硕士研究生张文云(2020届)、博士研究生任刘珍(2019级)、博士研究生鲍路瑶(2019届)等为合作者。西北工业大学是该论文的第一署名单位,胡海豹教授和郗恒东教授为共同通讯作者。该研究也得到了英国帝国理工学院Dini教授的支持。
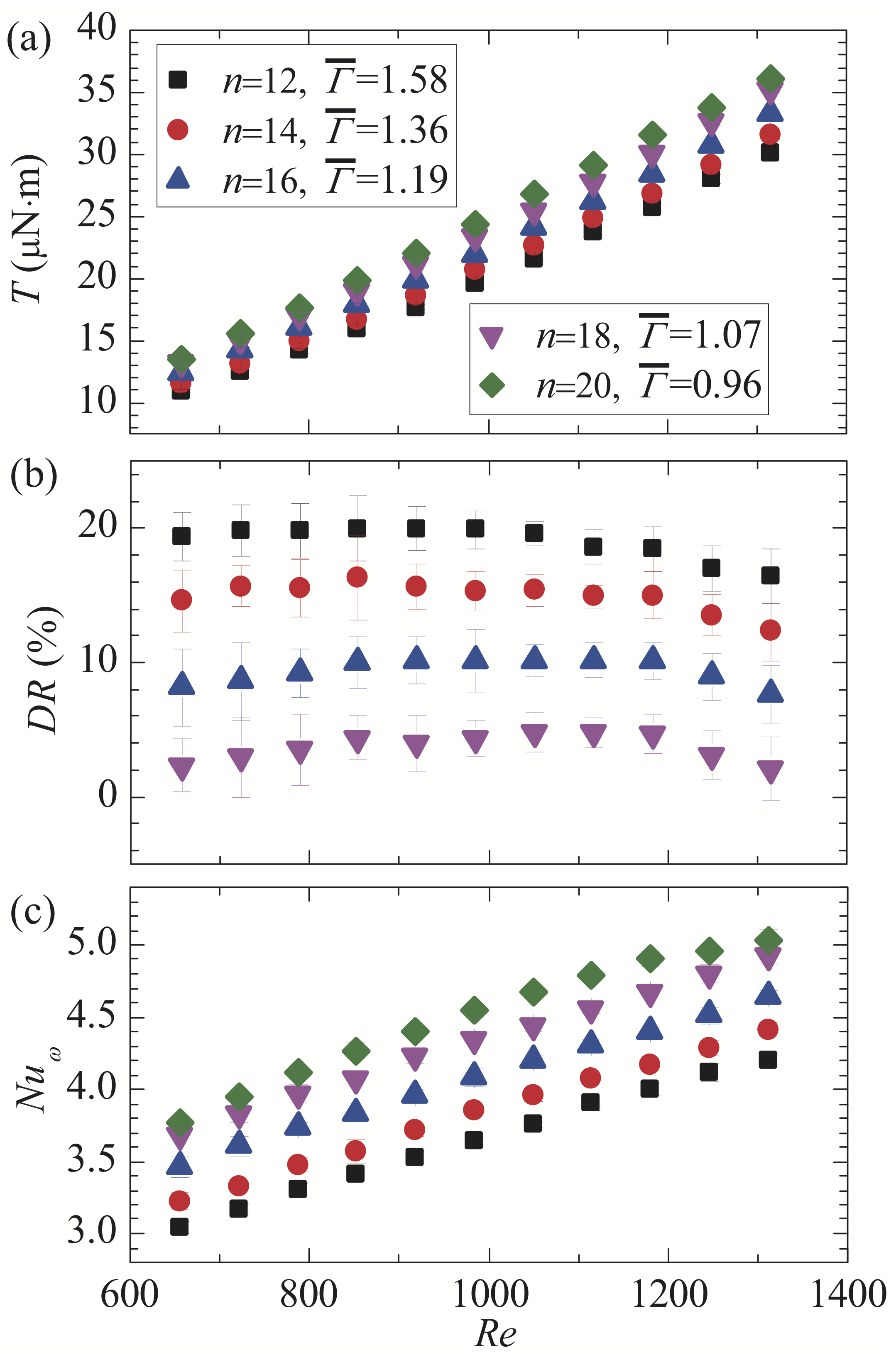
减小航行器在流体中运动时所受的阻力是航空、航天、航海领域的关键技术问题之一。在各类流动问题中,旋涡是最主要的流动结构之一,承担着质量和动量输运等重要角色,直接影响着系统的能量耗散;涡结构分布的差异还会造成固体表面粘性阻力和升力等流体动力特性的不同。泰勒-库埃特流动(一种夹在两个旋转同心圆筒之间粘性流体的流动类型)具有结构简单和易于精细测量等优点,被广泛应用于减阻技术研究。在该流动系统中,当雷诺数超过临界值后,会发生失稳,出现有序的涡结构(也称“泰勒涡”),从而增强流动中的动量交换,增加内转子所受阻力。先前的研究发现,泰勒涡的尺度与系统的动量输运(内转子所受阻力)存在很强的关联,然而其调控机制尚不清楚。
合作团队在国家自然科学基金项目、陕西省自然科学基础研究计划项目和111引智基地项目等项目支持下,创新地提出了一种仅通过改变初始条件来调控泰勒涡的新方法,实现了对泰勒涡尺度的大范围稳定调节。实验研究表明,该方法能将泰勒涡长度拉伸至通常长度的约1.9倍,从而显著降低流动中的动量交换强度,减小流动阻力;利用该方法可实现接近20%的减阻效果,且减阻效果随雷诺数变化较小。与现有流动减阻方法相比,该项基于泰勒涡调控的减阻新方法不需要外加机械装置,也不需要外部输入能量或加入添加剂,易于工程实现。该项成果除了在涡结构调控和减阻领域有潜在应用价值之外,还将会改变学者们对流动初始条件的传统认识。
该成果是我校流体力学方向跨学院合作的一次成功尝试。论文第一作者文俊是SM视频
2017届硕士研究生,该成果是其硕士研究工作的进一步深化和拓展。此外,文俊同学也是SM视频
第一篇Science子刊论文(Science Advances.2017, 3:e1603288)的学生第一作者,2019年还获得了第三届兵器学科全国优秀硕士学位论文奖。据悉,他已完成博士论文研究工作,即将从英国帝国理工学院毕业。
论文链接://doi.org/10.1017/jfm.2020.561

图1.利用初始条件调控出的不同涡结构状态对比

图2.不同涡结构状态下转子扭矩、减阻率和努塞尔数
审核:孙华强 杨坤德